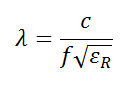
Pasternack TEM(横向电磁模式)波长计算器 用于在给定输入信号的频率和介电常数(或VoP)的情况下确定矩形波导内的波长(单位为毫米)。按 CTRL + D 将本页收藏或加入书签。
结果:
Pasternack 波导主要用于引导电磁波,通常称为波导传输线。Pasternack 波导是低损耗传输线,能够处理高隔离的高功率。波导有 WR-430 到 WR-15 的标准尺寸,频率范围为 1.7 GHz~75 GHz。波导组件有波导到同轴适配器、波导喇叭天线、波导终端(负载)、直波导和弯波导等。点击Pasternack 波导 页面了解产品详细信息。