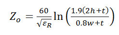
Pasternack 带状线阻抗计算器 用于在已知带状线的尺寸及介电常数的情况下,计算特性阻抗。将本页收藏或加入书签。
结果:
带状线在两个接地面之间,并由电介质材料包围的中心导体组成。通常情况下,只要不受尺寸限制,微带任何地方都可以使用带状线。实际上,带状线通常使带通滤波器等组件更准确,具有更对称的滚降,并且没有更低的截止频率。