Pasternack 微带波长计算器 用于查找微带内的引导波长,以及有效介电常数按 CTRL + D 将本页收藏或加入书签。
结果:
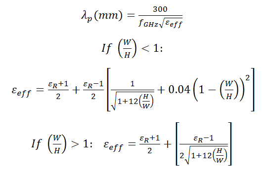
微带波长,简单地说,是输入信号的波长,因为它是被微带的有效介电常数改变。这种波长变化计算与TEM 应用中的计算相同,但由于微带的特性,必须首先计算“有效”介电常数。