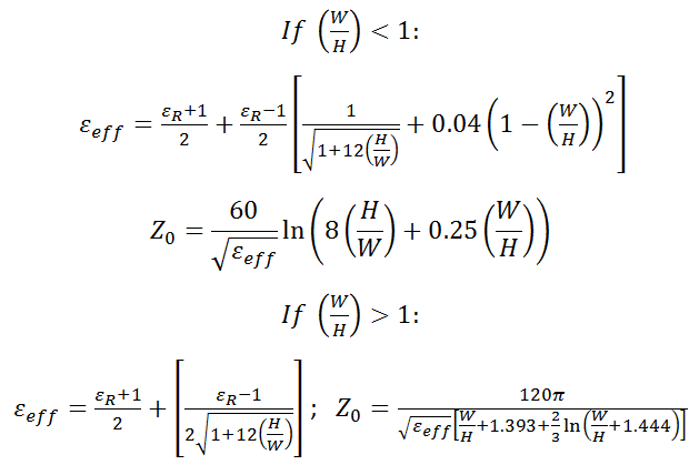
Pasternack 微带计算器 用于计算微带传输线的微带高/宽比、阻抗和相对介电常数。按 CTRL + D 将本页收藏或加入书签。
结果:
微带 是一种用于传输射频信号的电子传输线,通常使用印刷电路板(PCB)技术制造。与波导相比,微带通常具有较低的功率处理能力,并且由于它不是封闭的,因此损耗较高。