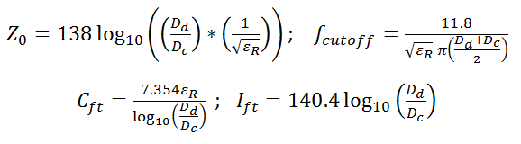
Pasternack 同轴电缆阻抗计算器 用于计算同轴电缆阻抗,只需输入外径介电宽度,内导体直径宽度及介电常数或传播速度(VoP)值即可。按 CTRL + D 将本页收藏或加入书签。
结果:
Pasternack 射频电缆 品类齐全,现货库存,可当天发货。有 50 欧姆,75 欧姆,93 欧姆和 95 欧姆同轴电缆或 78 欧姆和 100 欧姆双轴电缆。您可以选择批量购买电缆,也可以使用我们的同轴电缆来定制电缆组件。