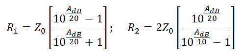
Pasternack T 型衰减器计算器(又名T-pad)用于确定三通衰减器的电阻值(R1 和R2)(单位为欧姆)。按 CTRL + D 将本页收藏或加入书签。
结果:
T 型衰减器(T-pad))是一种特殊类型的衰减器电路,类似于字母“T”。T 型衰减器由输入端的一个串联电阻和两个并联电阻组成,其中一个接地,另一个连接到输出端。点击 Pasternack 射频同轴衰减器 页面了解产品详细信息。